服务和产品
多肽定制合成
多肽定制合成简介
多肽定制合成价格表
多肽产品目录
多肽参数计算器
质量保证
多肽使用常见问题与解答
多肽修饰服务
多肽荧光修饰
多肽FRET修饰
多肽磷酸化修饰
多肽稳定同位素修饰
订书肽合成服务
多肽酰胺键成环修饰
肽库合成服务
糖基化修饰多肽
脂肽修饰技术
多肽PEG修饰
类肽合成服务
非天然氨基酸修饰
MAPs
多肽连接臂
穿膜肽修饰
多肽螯合修饰
难溶肽纯化技术
长肽合成技术
多肽N端修饰
多肽C端修饰
查看更多
多肽定制合成
从普通线性肽到环肽,荧光标记多肽等各种
大量产品报价
目录多肽
Virus Peptides / 病毒肽
Amyloid Peptides / 淀粉样肽
Cell-Penetrating Peptides (CPP) / 穿膜肽(CPP)
Enzyme Substrates/酶底物
Fibronectin Fragments, RGD Peptides/纤维粘连蛋白片段,RGD多肽
Various Peptides / 其他多肽
查看更多
化妆品多肽
Palmitoyl Pentapeptide-4
Palmitoyl Tetrapeptide-7
Acetyl Tetrapeptide-15
Biotinoyl Trippeptide-1
Cu-GHK
Acetyl Tetrapeptide-5
Acetyl Hexapeptide-38
Palmitoyl Tripeptide-1
查看更多
药物肽杂质
查看更多
目录多肽产品
目录多肽,化妆品多肽,药物肽杂质,超过
查看详情
标准氨基酸(D & L型)
丙氨酸(Ala)
精氨酸(Arg)
天冬酰胺(Asn)
天冬氨酸(Asp)
半胱氨酸(Cys)
谷氨酸(Glu)
谷氨酰胺(Gln)
甘氨酸(Gly)
组氨酸(His)
异亮氨酸(Ile)
亮氨酸(Leu)
赖氨酸(Lys)
蛋氨酸(Met)
苯丙氨酸(Phe)
脯氨酸(Pro)
丝氨酸(Ser)
丝氨酸(Ser)
色氨酸(Trp)
酪氨酸(Tyr)
缬氨酸(Val)
查看更多
非天然氨基酸
Ala, Gly, Val, & Leu类似物
Arg, Lys, Asp, & Glu类似物
Cys, Met, Phe, & Tyr类似物
Pro, Ser, Thr, & Trp类似物
β-氨基酸
荧光标记氨基酸
甲基化氨基酸
磷酸化氨基酸
订书肽构件
查看更多
缩合试剂和树脂
缩合试剂
树脂
查看更多
氨基酸及合成试剂
提供克级,公斤级,以及吨级数量级产品
大量产品报价
多肽合成
多肽定制合成简介
多肽定制合成价格表
多肽目录
多肽使用常见问题与解答
多肽参数计算器
质量保证
查看更多
小分子合成
小分子合成简介
小分子产品目录
质量保证
查看更多
抗体制备
抗体制备简介
单克隆抗体制备
多克隆抗体制备
抗体制备方案设计
抗体产品目录
质量保证
查看更多
蛋白表达
哺乳动物蛋白表达
昆虫表达系统
酵母表达系统
原核表达系统
蛋白产品目录
质量保证
查看更多
代测服务
LC-MS检测服务
HPLC纯化服务
紫外分析服务
红外检测服务
查看更多
关于我们
公司简介
企业文化
质量保证
联系我们
客户支持
常见问题与解答
多肽设计简介
技术文章
咨询与报价
文献引用奖励
条例条款
保密协议
多肽计算器
新闻中心
公司新闻
技术文章
联系我们
Toggle navigation
登录/注册 |
个人中心 |
购物车 |
退出登录
中文 | EN
多肽定制合成简介
多肽定制价格表
多肽参数计算器
多肽修饰
质量保证
常见问题与解答
多肽产品目录
>
服务和产品
>
多肽产品目录
>
Toxins / 毒素肽
多肽产品目录
>
Toxins / 毒素肽
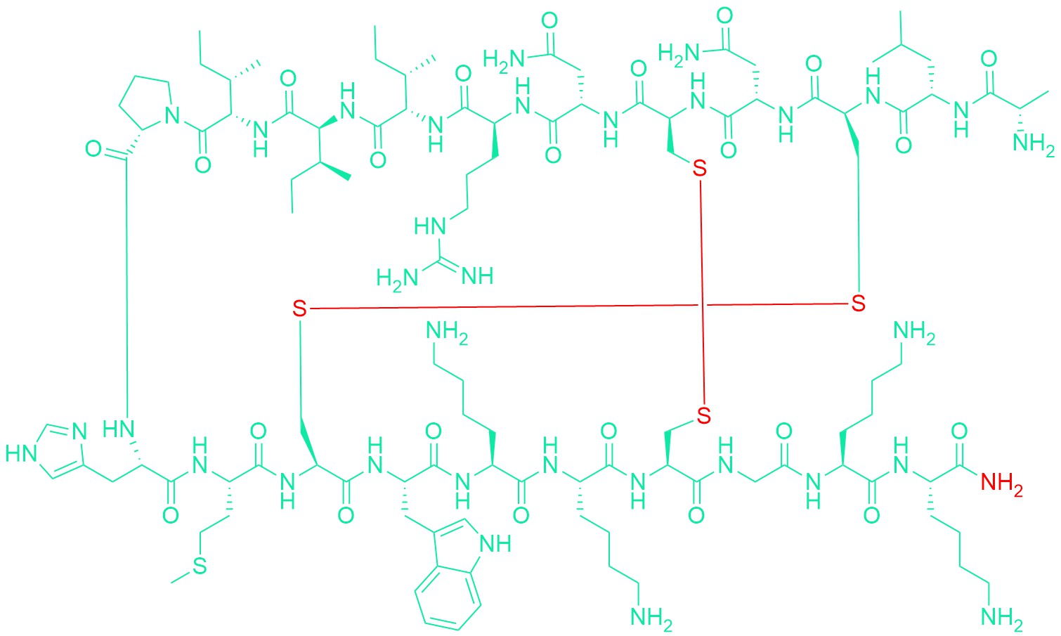
SNX 482
产品编号:211P34
CAS#:203460-30-4
分子式:C192H274N52O60S7
分子量:4495.01
货号
品牌
规格
纯度
价格
库存
数量
操作
211P34-1mg
肽研生物
1mg
>98%
¥4,000.00
货期5周定做
-
+
211P34-5mg
肽研生物
5mg
>98%
¥4,610.00
货期5周定做
-
+
211P34-10mg
肽研生物
10mg
>98%
¥5,210.00
货期5周定做
-
+
211P34-25mg
肽研生物
25mg
>98%
¥5,940.00
货期5周定做
-
+
211P34-50mg
肽研生物
50mg
>98%
¥9,340.00
货期6周定做
-
+
211P34-100mg
肽研生物
100mg
>98%
¥14,240.00
货期6周定做
-
+
Tertiapin
产品编号:211P29
CAS#:58694-52-3
分子式:C106H176N34O23S5
分子量:2455.11
货号
品牌
规格
纯度
价格
库存
数量
操作
211P29-1mg
肽研生物
1mg
>98%
¥2,440.00
货期4周定做
-
+
211P29-5mg
肽研生物
5mg
>98%
¥2,810.00
货期4周定做
-
+
211P29-10mg
肽研生物
10mg
>98%
¥3,180.00
货期4周定做
-
+
211P29-25mg
肽研生物
25mg
>98%
¥3,620.00
货期5周定做
-
+
211P29-50mg
肽研生物
50mg
>98%
¥5,690.00
货期5周定做
-
+
211P29-100mg
肽研生物
100mg
>98%
¥8,690.00
货期5周定做
-
+
Toxin GaTx1
产品编号:211P31
CAS#:1926163-15-6
分子式:C147H24N46O47S9
分子量:3676.27
货号
品牌
规格
纯度
价格
库存
数量
操作
211P31-1mg
肽研生物
1mg
>98%
¥4,100.00
货期5周定做
-
+
211P31-5mg
肽研生物
5mg
>98%
¥4,720.00
货期5周定做
-
+
211P31-10mg
肽研生物
10mg
>98%
¥5,340.00
货期5周定做
-
+
211P31-25mg
肽研生物
25mg
>98%
¥6,090.00
货期5周定做
-
+
211P31-50mg
肽研生物
50mg
>98%
¥9,560.00
货期6周定做
-
+
211P31-100mg
肽研生物
100mg
>98%
¥14,590.00
货期6周定做
-
+
Thymosin β4
产品编号:211P32
CAS#:77591-33-4
分子式:C212H350N56O78S
分子量:4963.49
货号
品牌
规格
纯度
价格
库存
数量
操作
211P32-1mg
肽研生物
1mg
>98%
¥2,100.00
货期4周定做
-
+
211P32-5mg
肽研生物
5mg
>98%
¥2,420.00
货期4周定做
-
+
211P32-10mg
肽研生物
10mg
>98%
¥2,730.00
货期4周定做
-
+
211P32-25mg
肽研生物
25mg
>98%
¥3,110.00
货期5周定做
-
+
211P32-50mg
肽研生物
50mg
>98%
¥4,900.00
货期5周定做
-
+
211P32-100mg
肽研生物
100mg
>98%
¥7,470.00
货期5周定做
-
+
ω-Agatoxin TK
产品编号:211P33
CAS#:158484-42-5
分子式:C215H337N65O70S10
分子量:5273.02
货号
品牌
规格
纯度
价格
库存
数量
操作
211P33-1mg
肽研生物
1mg
>98%
请询价
无货
-
+
211P33-5mg
肽研生物
5mg
>98%
请询价
无货
-
+
211P33-10mg
肽研生物
10mg
>98%
请询价
无货
-
+
211P33-25mg
肽研生物
25mg
>98%
请询价
无货
-
+
211P33-50mg
肽研生物
50mg
>98%
请询价
无货
-
+
211P33-100mg
肽研生物
100mg
>98%
请询价
无货
-
+
Sarafotoxin C
产品编号:211P24
CAS#:121695-87-2
分子式:C103H147N27O37S5
分子量:2515.79
货号
品牌
规格
纯度
价格
库存
数量
操作
211P24-1mg
肽研生物
1mg
>98%
¥2,050.00
货期4周定做
-
+
211P24-5mg
肽研生物
5mg
>98%
¥2,360.00
货期4周定做
-
+
211P24-10mg
肽研生物
10mg
>98%
¥2,670.00
货期4周定做
-
+
211P24-25mg
肽研生物
25mg
>98%
¥3,040.00
货期5周定做
-
+
211P24-50mg
肽研生物
50mg
>98%
¥4,780.00
货期5周定做
-
+
211P24-100mg
肽研生物
100mg
>98%
¥7,300.00
货期5周定做
-
+
(Lys4)-Sarafotoxin C
产品编号:211P25
CAS#:1219444-22-0
分子式:C105H153N27O36S5
分子量:2529.83
货号
品牌
规格
纯度
价格
库存
数量
操作
211P25-1mg
肽研生物
1mg
>98%
¥2,050.00
货期4周定做
-
+
211P25-5mg
肽研生物
5mg
>98%
¥2,360.00
货期4周定做
-
+
211P25-10mg
肽研生物
10mg
>98%
¥2,670.00
货期4周定做
-
+
211P25-25mg
肽研生物
25mg
>98%
¥3,040.00
货期5周定做
-
+
211P25-50mg
肽研生物
50mg
>98%
¥4,780.00
货期5周定做
-
+
211P25-100mg
肽研生物
100mg
>98%
¥7,300.00
货期5周定做
-
+
Stichodactyla helianthus Neurotoxin (ShK)
产品编号:211P26
CAS#:172450-46-3
分子式:C169H274N54O48S7
分子量:4054.83
货号
品牌
规格
纯度
价格
库存
数量
操作
211P26-1mg
肽研生物
1mg
>98%
¥4,100.00
货期4周定做
-
+
211P26-5mg
肽研生物
5mg
>98%
¥4,720.00
货期4周定做
-
+
211P26-10mg
肽研生物
10mg
>98%
¥5,340.00
货期4周定做
-
+
211P26-25mg
肽研生物
25mg
>98%
¥6,090.00
货期5周定做
-
+
211P26-50mg
肽研生物
50mg
>98%
¥9,560.00
货期5周定做
-
+
211P26-100mg
肽研生物
100mg
>98%
¥14,590.00
货期5周定做
-
+
(Dap22)-Stichodactyla helianthus Neurotoxin (ShK)
产品编号:211P27
CAS#:220384-25-8
分子式:C166H268N54O48S7
分子量:4012.75
货号
品牌
规格
纯度
价格
库存
数量
操作
211P27-1mg
肽研生物
1mg
>98%
¥4,100.00
货期5周定做
-
+
211P27-5mg
肽研生物
5mg
>98%
¥4,720.00
货期5周定做
-
+
211P27-10mg
肽研生物
10mg
>98%
¥5,340.00
货期5周定做
-
+
211P27-25mg
肽研生物
25mg
>98%
¥6,090.00
货期5周定做
-
+
211P27-50mg
肽研生物
50mg
>98%
¥9,560.00
货期6周定做
-
+
211P27-100mg
肽研生物
100mg
>98%
¥14,590.00
货期6周定做
-
+
6-FAM-AEEAc-Stichodactyla helianthus Neurotoxin (ShK)
产品编号:211P28
CAS#:1927927-42-1
分子式:C196H295N55O57S7
分子量:4558.3
货号
品牌
规格
纯度
价格
库存
数量
操作
211P28-1mg
肽研生物
1mg
>98%
¥3,120.00
货期5周定做
-
+
211P28-5mg
肽研生物
5mg
>98%
¥3,600.00
货期5周定做
-
+
211P28-10mg
肽研生物
10mg
>98%
¥4,070.00
货期5周定做
-
+
211P28-25mg
肽研生物
25mg
>98%
¥4,640.00
货期5周定做
-
+
211P28-50mg
肽研生物
50mg
>98%
¥7,290.00
货期6周定做
-
+
211P28-100mg
肽研生物
100mg
>98%
¥11,120.00
货期6周定做
-
+
Phalloidin
产品编号:211P20
CAS#:17466-45-4
分子式:C35H48N8O11S
分子量:788.87
货号
品牌
规格
纯度
价格
库存
数量
操作
211P20-1mg
肽研生物
1mg
>98%
请询价
无货
-
+
211P20-5mg
肽研生物
5mg
>98%
请询价
无货
-
+
211P20-10mg
肽研生物
10mg
>98%
请询价
无货
-
+
211P20-25mg
肽研生物
25mg
>98%
请询价
无货
-
+
211P20-50mg
肽研生物
50mg
>98%
请询价
无货
-
+
211P20-100mg
肽研生物
100mg
>98%
请询价
无货
-
+
((R)-4-Hydroxy-4-methyl-Orn7)-Phalloidin
产品编号:211P21
CAS#:87876-22-0
分子式:C35H49N9O10S
分子量:787.88
货号
品牌
规格
纯度
价格
库存
数量
操作
211P21-1mg
肽研生物
1mg
>98%
请询价
无货
-
+
211P21-5mg
肽研生物
5mg
>98%
请询价
无货
-
+
211P21-10mg
肽研生物
10mg
>98%
请询价
无货
-
+
211P21-25mg
肽研生物
25mg
>98%
请询价
无货
-
+
211P21-50mg
肽研生物
50mg
>98%
请询价
无货
-
+
211P21-100mg
肽研生物
100mg
>98%
请询价
无货
-
+
首页
上一页
1
2
3
下一页
尾页
个人中心
购物车
电话
热线电话
19941518170
邮箱
联系邮箱
sales@typeptide.com
微信
打开微信扫一扫
QQ
QQ客服
QQ客服
置顶